| Applies To | |||
| Product(s): | STAAD.Pro | ||
| Version(s): | All | ||
| Environment: | N/A | ||
| Area: | Design | ||
| Subarea: | American Steel Design | ||
| Original Author: | Bentley Technical Support Group | ||
The KL/ry reported for a T shape does not match my hand calculations. I am designing the section per the AISC ASD 9th edition code.
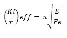
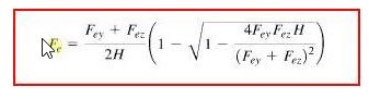
For singly symmetric shapes such as Tees and Double Angles, the KL/r value for the Y axis is calculated by STAAD using the rules for flexural torsional buckling as explained in page 3-53 of the AISC ASD manual (9th Edition). It is not calculated as Ky multiplied by Ly divided by ry. This is because for these types of member flexural torsional buckling is the primary mode of failure and no flexural buckling. The equation from page 3-53 is as follows:
where: