How to calculate AutoPIPE's pipe-soil interaction zone: La, Lb, and Lm?


Answer: 

What is the definition of these values:

La = 

This is virtual anchor length. The virtual anchor length can be estimated as 1.5 to 2.0 times the maximum slippage length Lm.

La is determined so that the point of zero relative pipe-soil strain can be established. This is the point where the model can be physically terminated without any loss of accuracy to the analyzed results

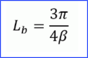
Lb = 

The length of Zone 1 (Lb) is identified as the point where the lateral displacement first becomes zero (closest to the bend). This length is known as the bearing span, and is given by:

where 

Lm = 

This is the maximum slippage length and defines the point at which the thermal elongation forces become equal to longitudinal yield strength of the soil. Lm can be determined by equating the length of pipe over which the yield strength of the soil must act in order to resist the thermal pipe load.

Note: The maximum slippage length, Lm, is calculated in order to estimate the virtual anchor length, La.

For further comprehensive information regarding these values or variable, please refer to AutoPIPE's help topics available here: :