SCF Method for Inline connection using ISO.



Question

When in FTOPT2 line column 51-53 "ISO" is selected, how is inline SCF calculated?


Calculation

When the code ISO is selected software calculates this CFS by using the formula 

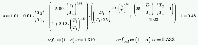
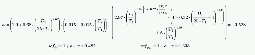
Design Equation SCF for tubular to tubular Girth Weld

This formula is used when the thickness of the connection is alined inside

This formula is used when the thickness of the connection is alined outside

 

Example

Data:

D1 = 184 cm

T1= 4 cm

D2= 192 cm

T2 = 8 cm

Considering the connection is alined inside

Considering the connection is aligned outside

Comparing the results with the output file 

 

See also

Inline SCF Calculation when "ISO" is selected in FTOPT2 (Columns 51–53)